近日,青海盐湖所溶液化学课题组李东东副研究员在离子交换膜分离理论领域取得新进展。研究团队基于聚电解质网络的标度属性和离子的短程相互作用,提出了“标度正规溶液理论”,实现了对过去70多年来离子膜中自由离子活度系数实验数据的统一描述,为理解离子交换膜的离子选择性、以及选择性与通量之间的Trade-off效应提供了新思路。
离子交换膜是盐湖提锂、海水淡化、燃料电池等技术的核心材料,其性能取决于膜内离子的选择性传输。在“溶解-扩散”理论(solution-diffusion model)框架下,膜对于自由离子i和j的选择系数SFij(式1 )由膜相与水溶液相之间的热力学分配系数之比(Ki/Kj)和膜内扩散系数之比(Di/Dj)决定,即:

其中,分配系数Ki = mim/mis和Kj = mjm/mjs由膜相中离子浓度(mim和mjm)和与之平衡的外部水溶液中的离子浓度(mis和mjs)唯一确定。
唐南(Donnan)平衡理论明确了膜相离子浓度对外部溶液离子浓度的依赖关系(式2,γ表示活度系数)。然而,膜相中离子活度随浓度的改变不容忽视,展现出了强烈的非理想性,导致理想唐南模型失效,理论难以用于实际工况,特别是高盐卤水场景。
为了预测膜相中自由离子的活度系数γm,有研究者将离子交换膜近似的视作聚电解质溶液,并引入曼宁(Gerald S. Manning)反离子凝聚理论,突出自由离子与聚合物链之间的静电作用的重要性。尽管该理论在稀聚电解质溶液中取得了巨大成功,但在离子交换膜中的应用效果远不理想。这主要是由于离子膜中的荷电聚合物链极端曲折,且相互交联形成复杂的网络拓扑结构,完全不同于稀聚电解质溶液中的线性链。此外,由于离子膜的低含水率,其具有内在的浓溶液特征,结构上亦不同于稀聚电解质溶液。
受Kenneth S. Pitzer浓电解质溶液理论启发,研究人员认为:离子交换膜的反离子凝聚效应相较曼宁理论所描述的稀聚电解质溶液要强的多;在纯水溶胀的离子交换膜中,绝大多数的反离子处于凝聚状态,有效的屏蔽了聚合物链上的电荷。因此,自由离子之间的短程作用,而非长程静电作用,才是决定性的。这点与忽略长程静电作用的浓电解质溶液理论完全一致。据此,研究人员创新性提出了"纯水溶胀膜参考态"——首次明确区分了膜内反离子与溶液相中反离子的标准化学势。
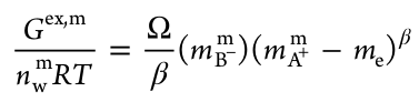
研究人员受Pierre-Gilles de Gennes聚合物标度理论[5]进一步启发,提出“标度正规溶液理论”(即,膜相中“有效自由反离子浓度”与“表观自由反离子浓度”间的幂律关系),用以描述溶胀离子交换膜内自由离子相互作用的超额吉布斯(Gex,m)自由能(式3):

应用该理论,成功对过去70多年来实验测定的各类离子交换膜体系中离子活度系数数据进行了统一描述。研究特别强调:膜内复杂的聚合物网络作为拓扑整体对自由离子行为具有决定性作用。(式3)中的标度因子β作为表征膜聚合物整体拓扑结构的关键参数,为先进离子交换膜的设计提供了全新理论坐标。
研究结果以“Thermodynamics of Mobile Ion in Ion Exchange Membranes: Water-Swollen-Membrane Reference State and Quasi-Regular Solution Model”为题发表在美国化学会物理化学领域顶级期刊Journal of Physical Chemistry B(2025, 129, 19, 4794-4810. Supplementary cover article)。青海盐湖所李东东副研究员为唯一作者。该研究得到中国科学院西部之光计划(292022000019)、2023青海省省昆仑英才计划和中国科学院B类先导专项(XDB1130402)的资助。
文章链接:https://doi.org/10.1021/acs.jpcb.4c08514
参考文献:
[1] Luo, H.; Agata, W. A. S.; Geise, G. M. Connecting the ion separation factor to the sorption and diffusion selectivity of ion exchange membranes. Ind. Eng. Chem. Res. 2020, 59, 14189−14206.
[2] Donnan, F. G. The theory of membrane equilibria. Chem. Rev. 1924, 1, 73−90.
[3] Manning, G. S. Limiting laws and counterion condensation in polyelectrolyte solutions I. Colligative properties. J. Chem. Phys. 1969, 51, 924−933.
[4] Pitzer, K. S. Electrolytes. From dilute solutions to fused salts. J. Am. Chem. Soc. 1980, 102, 2902−2906.
[5] Gennes, P. G. D. Scaling Concepts in Polymer Physics; Cornell University Press, 1979.

稀电解质水溶液(a)、稀聚电解质水溶液(b)、浓电解质水溶液(c)、溶胀离子交换膜(d)结构示意图,以及不同体系中的离子活度系数趋势(e)

与不同电解质水溶液平衡的多种离子交换膜中自由离子活度系数的实验值与理论值对比

期刊内封面(Supplementary Cover)与论文首页
审核:年洪恩