盐水溶液贯穿于盐湖的形成演化、分离提取及综合利用的全过程,浓盐溶液化学与水盐相平衡是盐卤相分离工艺和资源综合利用的重要理论基础。水盐体系相平衡研究已经历百余年的发展,现代计算化学的发展也为复杂水盐体系相平衡研究提供了新契机。青藏高原赋有丰富的盐类矿产资源,尤以富含硼为其重要特征之一,盐湖硼矿资源分为固体类型和液体类型,液体硼矿居多且有较大资源远景,但目前以开发利用固体硼矿为主。目前,不同形态硼酸盐焓、熵、吉布斯自由能等热力学参数极为缺乏,其准确测定对丰富和发展盐湖硼酸盐化学理论至关重要。
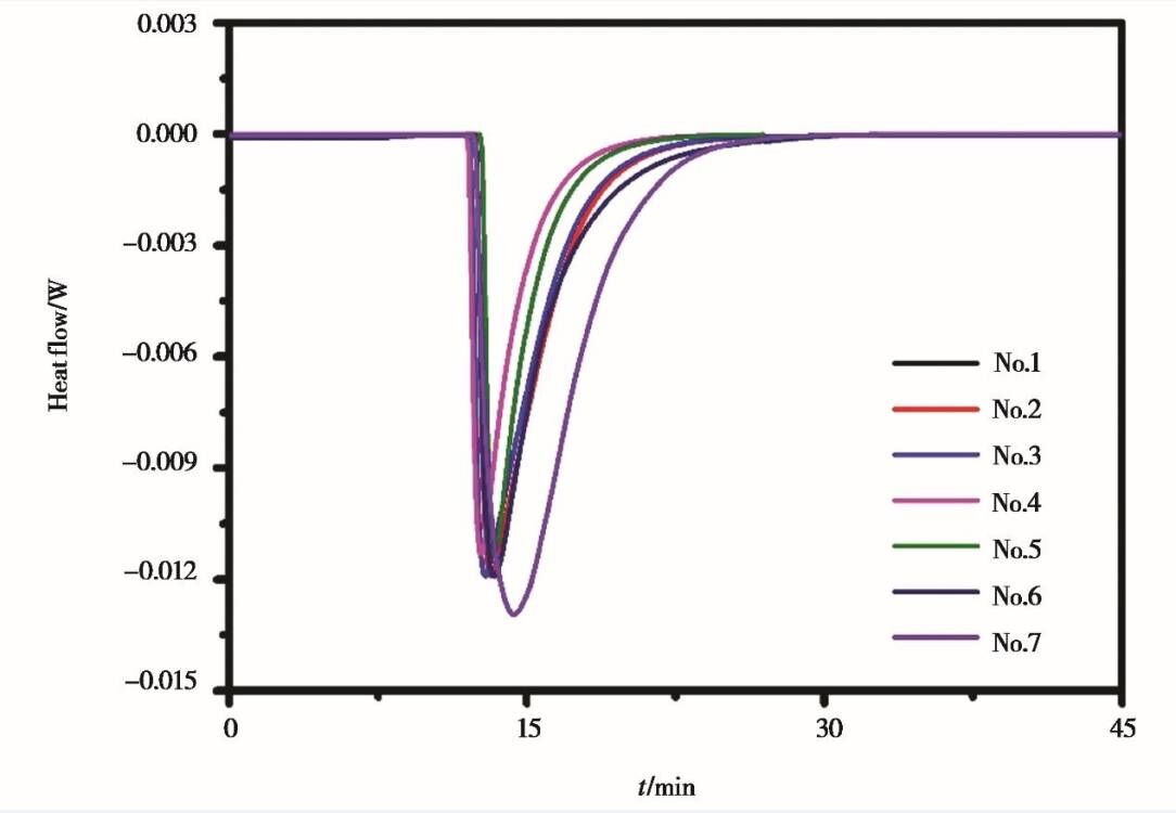
天津科技大学郭亚飞团队采用微量热计测定了五水合五硼酸钠(NaB5O8·5H2O)溶解热。根据设计的热化学循环和热力学基本公式,获得了NaB5O8·5H2O在298.15 K下标准生成焓 (-5189.4820 kJ×mol-1)、标准生成熵(701.2728 J×mol-1×K-1)、标准生成吉布斯自由能( -5398.5665 kJ×mol-1)等热力学参数。这些基础热力学参数的获得对丰富无机盐热力学数据和促进盐湖资源综合利用具有重要意义。以上研究结果详见《盐湖研究》2022年第1期——研究亮点:1-6页。

NaB5O8·5H2O的7个平行试验的溶解过程热流图